基本信息
DreamTuner是由字节跳动开发的一款人工智能图像生成工具。这是一种从单个图像生成主体驱动的新通用方法,可以创建令人震惊的一致主体身份。你只需要提供一张图片,DreamTuner就能帮你生成与这张图片在主题和风格上一致的新图像。这个工具特别适用于需要根据特定主题或条件创建个性化图像的场景。
DreamTuner视频介绍:
https://img.pidoutv.com/wp-content/uploads/2024/04/1379350032-1-16.mp4DreamTuner生成的图像效果展示:
DreamTuner的功能特点
DreamTuner的技术原理 我们提出DreamTuner作为一个基于微调和图像编码器的主题驱动图像生成的新框架,它保持了主题从粗到细的身份。DreamTuner包括三个阶段:主题编码器预训练、主题驱动微调和主题驱动推理。首先,对主题编码器进行粗身份保持训练。主题编码器是一种为生成模型提供压缩图像特征的图像编码器。利用冻结控制网实现内容与布局的解耦。然后我们在参考图像和一些在DreamBooth中生成的常规图像上对整个模型进行微调。注意,主体编码器和自我主体注意用于常规图像生成,以细化常规数据。在推理阶段,使用主体编码器、自我主体注意和通过微调得到的主题词[S*],实现由粗到精的主体身份保持。预训练的ControlNet也可用于布局控制生成。
由于主题编码器为生成过程提供了特定主题的总体外观,我们进一步提出了基于原始自注意层的自我主题注意,以保持良好的主题身份。将预先训练好的文本到图像U-Net模型提取的参考图像特征注入到自注意层中。参考特征与生成图像的特征具有相同的分辨率,可以提供精细化的详细参考。具体而言,在每个时间步长t对参考图像进行扩散前处理,然后从噪声后的参考图像中提取每个自注意层前的参考特征,使其与时间步长t生成的图像特征具有相同的数据分布。利用参考特征将原始自注意层修改为自主体注意层。将生成图像的特征作为查询,将生成图像特征与参考图像特征的拼接作为键和值。为了消除参考图像背景的影响,使用显著目标检测(SOD)模型创建前景蒙版,用0和1表示背景和前景。此外,遮罩还可以通过权重策略来调整参考图像的影响程度,即将遮罩乘以调整系数ωref。掩码作为注意偏差,因此使用log函数作为预处理。
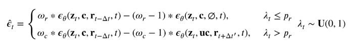
将原来的分类器自由引导方法也修改为:
其中zt为时间步长t时生成的图像,c为条件,uc为不希望的条件,rt – Δt和rt Δt ‘为时间步长t – Δt和t Δt ‘时的扩散噪声参考图像,Δt和Δt ‘为小时间步长偏差,ωr和ωc为引导尺度,λ t为最终输出。第一个方程强调参考图像的引导,第二个方程强调条件的引导,其中pr控制选择第一个的可能性。自我主体注意图的可视化 我们将生成过程的中间时间步(t=25)和最后时间步(t=0)的自我主体注意图可视化,文字为“1girl [S*],坐在桌旁,手里端着一杯茶,阳光从窗户射进来”。我们选择Diffusion U-Net模型的Encoder layer 7、8和Decoder layer 4、5的注意图,即当生成的图像分辨率为512*512时,特征分辨率为16*16的层。生成的图像显示在左边,参考图像显示在右边。注意力地图上,影响力大的区域呈红色,影响力小的区域呈蓝色。红色框表示查询。解码器第5层的一些关键注意图如下所示。可以发现所生成的图像将从参考图像中查询精炼的主题信息。
所有的注意力图都被可视化为视频:
DreamTuner的适用场景